Index of /amazigh.ouzriat/run01v01_v5r58_trunk/


../
All_FARs.png                                       30-Jul-2025 16:40              122485
All_FARs_with_MbtaH-.png                           30-Jul-2025 16:40              122349
All_FARs_with_MbtaHL-.png                          30-Jul-2025 16:40              114262
All_FARs_with_MbtaHV-.png                          30-Jul-2025 16:40              115446
All_FARs_with_MbtaL-.png                           30-Jul-2025 16:40              121515
All_FARs_with_MbtaLV-.png                          30-Jul-2025 16:40              115337
FARofCRS-HL.png                                    30-Jul-2025 16:45              116826
FARofCRS-HV.png                                    30-Jul-2025 16:45              114812
FARofCRS-LV.png                                    30-Jul-2025 16:45              113479
FARofCRS.gwf                                       30-Jul-2025 16:45             2238416
FARofCRS_with_clustering_factor-fitted-withSing..> 30-Jul-2025 16:45             2697333
FARofCRS_with_clustering_factor-fitted.gwf         30-Jul-2025 16:45             2451045
FARofCRS_with_clustering_factor.gwf                30-Jul-2025 16:45             2247137
FARofPastro-H.png                                  30-Jul-2025 16:45              130621
FARofPastro-HL.png                                 30-Jul-2025 16:45              165607
FARofPastro-HV.png                                 30-Jul-2025 16:45              146157
FARofPastro-L.png                                  30-Jul-2025 16:45              153497
FARofPastro-LV.png                                 30-Jul-2025 16:45              143943
FARofPastro.gwf                                    30-Jul-2025 16:35            11202967
Fd                                                 30-Jul-2025 16:45                  37
InjectionScaling.png                               30-Jul-2025 16:35               83334
background.ffl                                     30-Jul-2025 16:40                8840
backgroundFitAll-HL.pdf                            30-Jul-2025 16:40             2339054
backgroundFitAll-HV.pdf                            30-Jul-2025 16:40             2428308
backgroundFitAll-LV.pdf                            30-Jul-2025 16:40             2403306
backgroundFitTBC-HL.pdf                            30-Jul-2025 16:40              370919
backgroundFitTBC-HV.pdf                            30-Jul-2025 16:40              598445
backgroundFitTBC-LV.pdf                            30-Jul-2025 16:40              476293
catValues.gwf                                      30-Jul-2025 16:40            23705786
clusteringFactors-HL.pdf                           30-Jul-2025 16:40              200669
clusteringFactors-HL.png                           30-Jul-2025 16:40               38305
clusteringFactors-HV.pdf                           30-Jul-2025 16:40              205553
clusteringFactors-HV.png                           30-Jul-2025 16:40               36987
clusteringFactors-LV.pdf                           30-Jul-2025 16:40              206987
clusteringFactors-LV.png                           30-Jul-2025 16:40               37126
data_clustered.gwf                                 30-Jul-2025 16:45         20261573045
data_postfiltered.ffl                              30-Jul-2025 16:45                9554
data_postfiltered_trend.ffl                        30-Jul-2025 16:45                 562
data_withFAR.gwf                                   30-Jul-2025 16:40         20491954687
data_withFAR_only.gwf                              30-Jul-2025 16:49         15205605761
detectionList.txt                                  30-Jul-2025 16:45                4519
fitSinglesAll.png                                  30-Jul-2025 16:45               84044
getBackground.out                                  30-Jul-2025 16:45              506957
getBackground.slurm                                30-Jul-2025 16:45                 367
getBackground_2025-07-13-10h10m04-UTC.log          30-Jul-2025 16:45              407125
getEvents.out                                      30-Jul-2025 16:45              712744
getEvents.slurm                                    30-Jul-2025 16:45                 338
getEvents_2025-07-13-09h53m21-UTC.log              30-Jul-2025 16:45                8419
getInjections.out                                  30-Jul-2025 16:45             1773110
getInjections.slurm                                30-Jul-2025 16:45                 591
getInjections02_2025-07-13-09h54m03-UTC.log        30-Jul-2025 16:45                3307
getInjections13_2025-07-13-09h54m03-UTC.log        30-Jul-2025 16:45                3307
injections_batchs_02.ffl                           30-Jul-2025 16:35               10192
injections_batchs_13.ffl                           30-Jul-2025 16:35               10192
injections_clustered.gwf                           30-Jul-2025 16:35           685601246
injections_clustered_02.gwf                        30-Jul-2025 16:35           334950030
injections_clustered_13.gwf                        30-Jul-2025 16:35           342100090
makeFARofPastro_2025-07-21-05h30m18-UTC.log        30-Jul-2025 16:45             4018590
mbta                                               30-Jul-2025 16:45                  28
nEvents.png                                        30-Jul-2025 16:35               45301
pAstro-H-Lon.png                                   30-Jul-2025 16:35               45618
pAstro-H.png                                       30-Jul-2025 16:35               46062
pAstro-HL.png                                      30-Jul-2025 16:35               40055
pAstro-HV.png                                      30-Jul-2025 16:35               41969
pAstro-L-Hon.png                                   30-Jul-2025 16:35               48826
pAstro-L.png                                       30-Jul-2025 16:35               53870
pAstro-LV.png                                      30-Jul-2025 16:35               41008
pAstroAllBins-H-Lon.pdf                            30-Jul-2025 16:35             1675937
pAstroAllBins-H.pdf                                30-Jul-2025 16:35              849179
pAstroAllBins-HL.pdf                               30-Jul-2025 16:35              836276
pAstroAllBins-HV.pdf                               30-Jul-2025 16:35              848659
pAstroAllBins-L-Hon.pdf                            30-Jul-2025 16:35             1688292
pAstroAllBins-L.pdf                                30-Jul-2025 16:35              865394
pAstroAllBins-LV.pdf                               30-Jul-2025 16:35              845468
pAstroBadBins-H-Lon.pdf                            30-Jul-2025 16:35               12370
pAstroBadBins-H.pdf                                30-Jul-2025 16:35               12366
pAstroBadBins-HL.pdf                               30-Jul-2025 16:35               12367
pAstroBadBins-HV.pdf                               30-Jul-2025 16:35               12367
pAstroBadBins-L-Hon.pdf                            30-Jul-2025 16:35               12370
pAstroBadBins-L.pdf                                30-Jul-2025 16:35               12366
pAstroBadBins-LV.pdf                               30-Jul-2025 16:35               12367
pAstroLog-H-Lon.png                                30-Jul-2025 16:35              126539
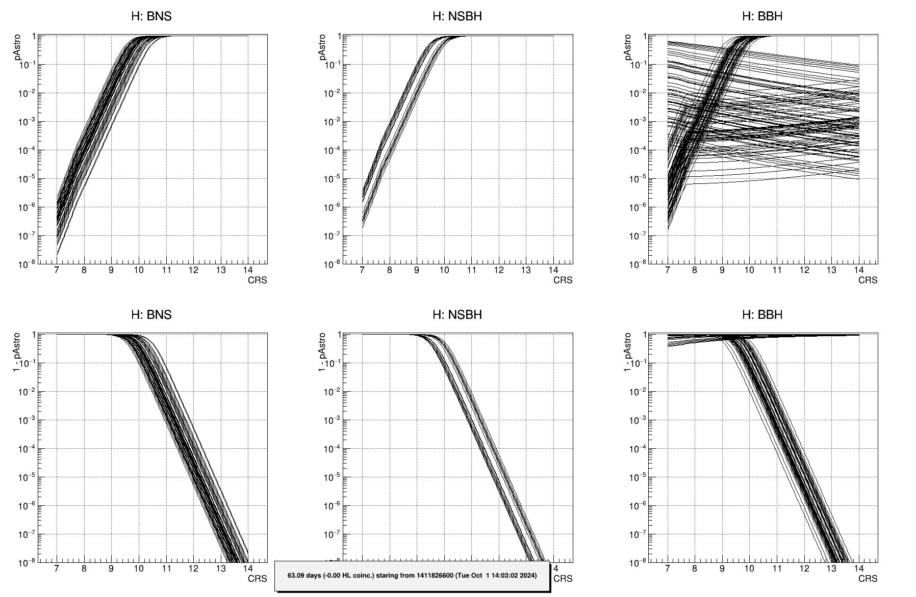
pAstroLog-H.png                                    30-Jul-2025 16:35              106413
pAstroLog-HL.png                                   30-Jul-2025 16:35              102855
pAstroLog-HV.png                                   30-Jul-2025 16:35              107403
pAstroLog-L-Hon.png                                30-Jul-2025 16:35              127583
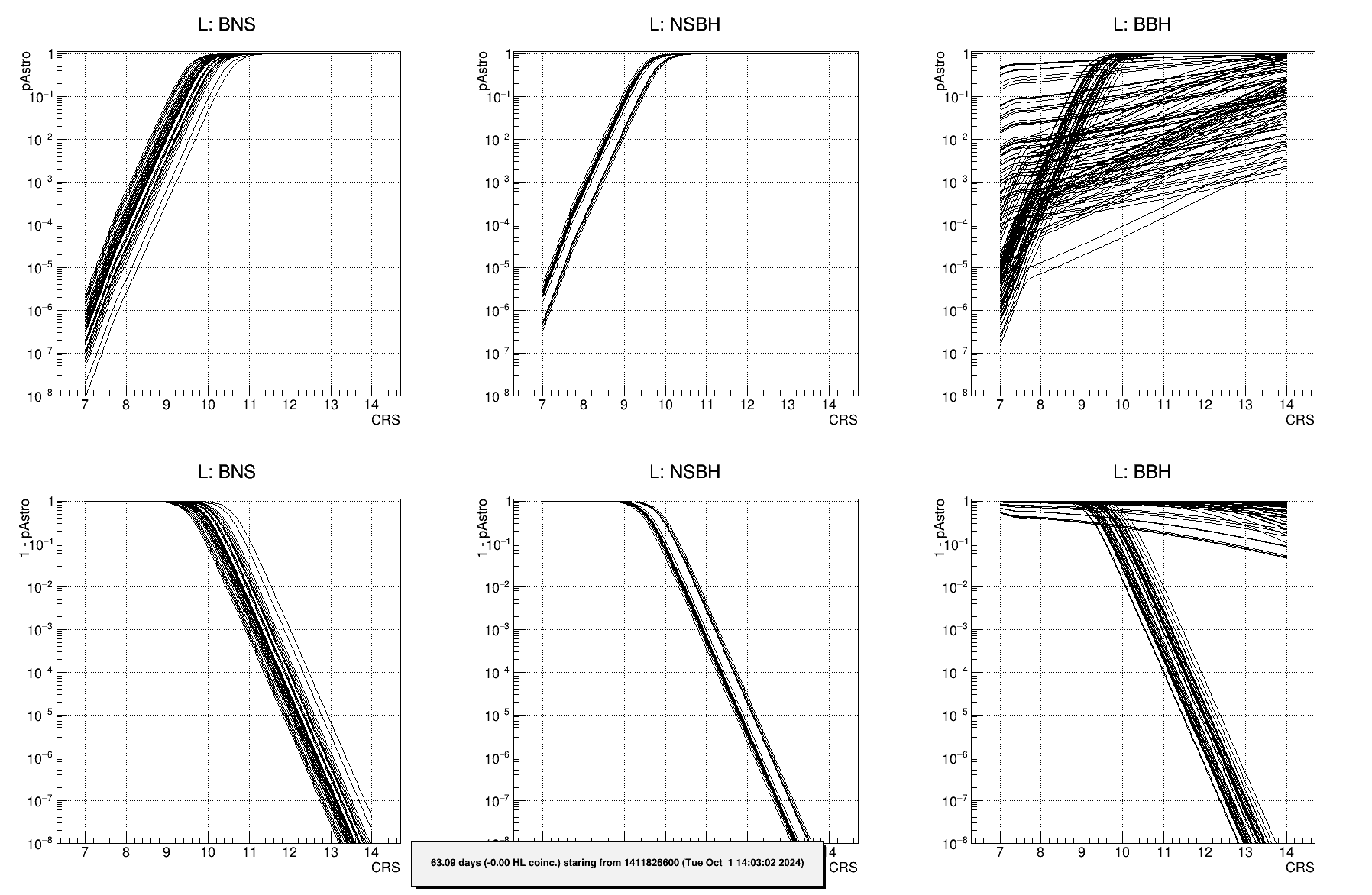
pAstroLog-L.png                                    30-Jul-2025 16:35              108469
pAstroLog-LV.png                                   30-Jul-2025 16:35              105361
setPastroData_2025-07-21-05h30m44-UTC.log          30-Jul-2025 16:35               11454